r036_logo
數學
2025-03-19

線性代數-電腦科學應用數學

前敘

筆記內容著重於,電腦科學與人工智慧領域所應用的數學,目的為快速導讀重點脈絡及公式,類似於直式的心智圖,有助於構思規劃學習路線,或是直接查找應用。


目錄

筆記目前整理部分

  • 微積分
    (研究連續變化、累積與極限現象的數學,應用於函數分析、優化與動態系統建模)

  • 線性代數
    (研究向量、矩陣與線性變換的結構與操作,為機器學習與深度學習的核心基礎)

  • 離散數學(廣義邏輯學)
    (研究離散結構與邏輯基礎,包含集合論、圖論、布林代數等,支撐演算法設計與計算理論)

  • 統計學
    (研究資料分佈、推論與估計,是資料分析與機器學習模型評估的重要工具)

  • 幾何學
    (研究形狀、空間關係與度量,在電腦視覺、圖形學與機器人定位中應用廣泛)

  • 數學分析
    (研究極限、收斂性與嚴格定義的連續性,是微積分的理論基礎並延伸至泛函分析)

  • 機率論
    (研究隨機事件與不確定性,為貝葉斯推論、馬可夫過程及強化學習等提供理論支撐)


矩陣向量特性

行矩陣(Row Matrix / vector)

A=[a11a12a13]A = \begin{bmatrix} a_{11} & a_{12} & a_{13} \end{bmatrix}

列矩陣(Column Matrix / vector)

A=[a11a21a31]A = \begin{bmatrix} a_{11} \\ a_{21} \\ a_{31} \end{bmatrix}

單元素矩陣(Singleton Matrix)

A=[a11]A = \begin{bmatrix} a_{11} \end{bmatrix}

方矩陣(Square Matrix)

指行數和列數相等的矩陣

A=[a11a12a21a22]A = \begin{bmatrix} a_{11} & a_{12} \\ a_{21} & a_{22} \end{bmatrix}

全一矩陣(Matrix of Ones)

O=[111111111] O = \begin{bmatrix} 1 & 1 & 1 \\ 1 & 1 & 1 \\ 1 & 1 & 1 \end{bmatrix}

零矩陣(Zero Matrix)

A=[0000]A = \begin{bmatrix} 0 & 0 \\ 0 & 0 \end{bmatrix}

單位矩陣(Identity Matrix, I)

單位矩陣是一種方陣,其主對角線元素為 1,其他元素為 0

A=[1001]A = \begin{bmatrix} 1 & 0 \\ 0 & 1 \end{bmatrix}

對角矩陣(Diagonal Matrix)

對角矩陣是一種方陣,主對角線以外的元素為 0

A=[d1000d2000d3]A = \begin{bmatrix} d_1 & 0 & 0 \\ 0 & d_2 & 0 \\ 0 & 0 & d_3 \end{bmatrix}

上三角矩陣(Upper Triangular Matrix)

A=[a11a12a130a22a2300a33]A = \begin{bmatrix} a_{11} & a_{12} & a_{13} \\ 0 & a_{22} & a_{23} \\ 0 & 0 & a_{33} \end{bmatrix}

下三角矩陣(Lower Triangular Matrix)

A=[a1100a21a220a31a32a33]A = \begin{bmatrix} a_{11} & 0 & 0 \\ a_{21} & a_{22} & 0 \\ a_{31} & a_{32} & a_{33} \end{bmatrix}

對稱矩陣(Symmetric Matrix)

A=[abcbdecef]滿足:A=AA = \begin{bmatrix} a & b & c \\ b & d & e \\ c & e & f \end{bmatrix} \quad \text{滿足:} A = A^\top

反對稱矩陣(Skew-Symmetric Matrix)

A=[0aba0cbc0]滿足:A=AA = \begin{bmatrix} 0 & a & b \\ -a & 0 & c \\ -b & -c & 0 \end{bmatrix} \quad \text{滿足:} A = -A^\top

矩陣特徵值

對角化 (Diagonalization)

A=PDP1 A = P \cdot D \cdot P^{-1}
  • P 是一個由矩陣 A 的特徵向量組成的矩陣。
  • D 是一個對角矩陣,其中的對角元素是 A 的特徵值。
  • P1P^{-1} 是矩陣 P 的逆矩陣。

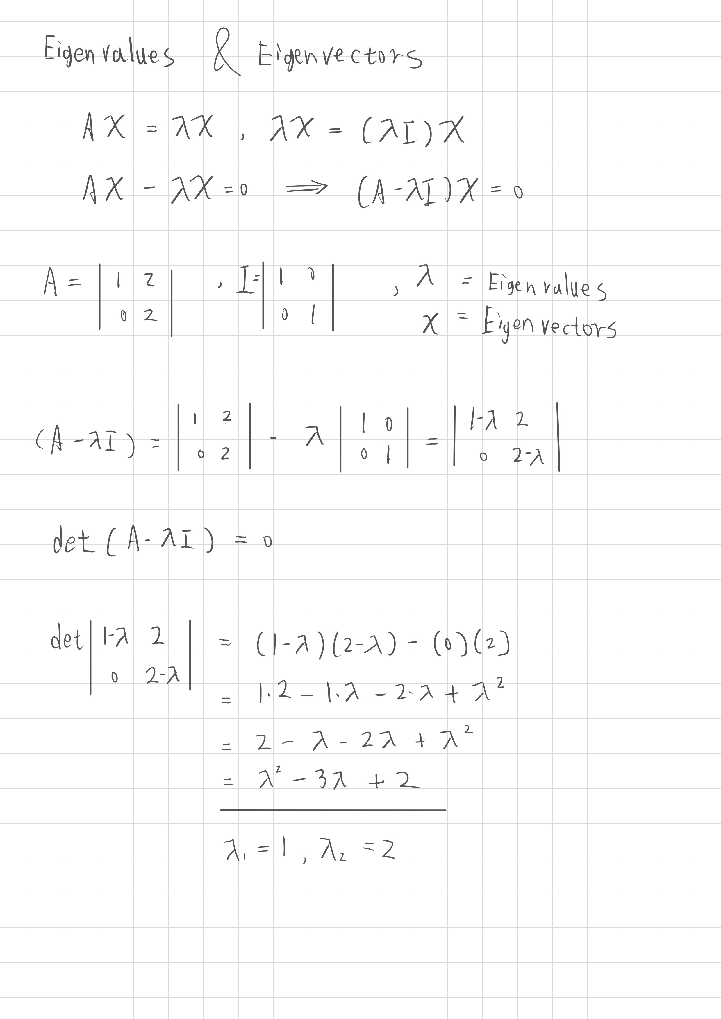
特徵值與特徵向量(Eigenvalues and Eigenvectors)

RENODE 重構節點 人工智慧資訊網站

RENODE 重構節點 人工智慧資訊網站

基本運算

矩陣加法(Matrix Addition)

矩陣加法的條件是兩個矩陣的維度必須相同,也就是說,它們的行數和列數必須相等。進行加法運算時,對應位置的元素相加。

A=(1234),B=(5678)A = \begin{pmatrix} 1 & 2 \\ 3 & 4 \end{pmatrix}, \quad B = \begin{pmatrix} 5 & 6 \\ 7 & 8 \end{pmatrix} A+B=(1+52+63+74+8)=(681012)A + B = \begin{pmatrix} 1+5 & 2+6 \\ 3+7 & 4+8 \end{pmatrix} = \begin{pmatrix} 6 & 8 \\ 10 & 12 \end{pmatrix}

矩陣乘法(Matrix Multiplication)

矩陣乘法不備具交換律,因此乘法順位會影響輸出張量

Am×nBn×p=Cm×pA_{m \times n} \cdot B_{n \times p} = C_{m \times p} A=(1234),B=(5678)A = \begin{pmatrix} 1 & 2 \\ 3 & 4 \end{pmatrix}, \quad B = \begin{pmatrix} 5 & 6 \\ 7 & 8 \end{pmatrix} A×B=(1×5+2×71×6+2×83×5+4×73×6+4×8)=(19224350)A \times B = \begin{pmatrix} 1 \times 5 + 2 \times 7 & 1 \times 6 + 2 \times 8 \\ 3 \times 5 + 4 \times 7 & 3 \times 6 + 4 \times 8 \end{pmatrix} = \begin{pmatrix} 19 & 22 \\ 43 & 50 \end{pmatrix}

例子2:

AB=(x1x2)(y1y2)=(x1y1x1y2x2y1x2y2) AB = \begin{pmatrix} x_1 \\ x_2 \end{pmatrix} \begin{pmatrix} y_1 & y_2 \end{pmatrix} = \begin{pmatrix} x_1 y_1 & x_1 y_2 \\ x_2 y_1 & x_2 y_2 \end{pmatrix}

純量乘法(Scalar Multiplication)

純量乘法讓矩陣所代表的變換按比例縮放

RENODE 重構節點 人工智慧資訊網站

kA=k×(a11a12a21a22)=(ka11ka12ka21ka22)k A = k \times \begin{pmatrix} a_{11} & a_{12} \\ a_{21} & a_{22} \end{pmatrix} = \begin{pmatrix} k a_{11} & k a_{12} \\ k a_{21} & k a_{22} \end{pmatrix} A=(1234),2×A=(2468)A = \begin{pmatrix} 1 & 2 \\ 3 & 4 \end{pmatrix}, \quad 2 \times A = \begin{pmatrix} 2 & 4 \\ 6 & 8 \end{pmatrix}

對稱矩陣 (Symmetric Matrix)

AT=AA^T = A

表示矩陣轉置(Matrix Transposition)為矩陣本身

例子

aij=ajia_{ij} = a_{ji}

A=[123245356]A = \begin{bmatrix} 1 & 2 & 3 \\ 2 & 4 & 5 \\ 3 & 5 & 6 \end{bmatrix}

A12=A21=2A_{12} = A_{21} = 2

A13=A31=3A_{13} = A_{31} = 3

A23=A32=5A_{23} = A_{32} = 5

重點

  • 用於 特徵值分解 (Eigenvalue Decomposition)
  • 正交對角化 (Orthogonally Diagonalizable)

行列式(Determinant, Det)

A=[abcd]A = \begin{bmatrix} a & b \\ c & d \end{bmatrix} det(A)=adbc\text{det}(A) = ad - bc

拉普拉斯展開(Laplace expansion)

A=[a11a12a13a21a22a23a31a32a33]A = \begin{bmatrix} a_{11} & a_{12} & a_{13} \\ a_{21} & a_{22} & a_{23} \\ a_{31} & a_{32} & a_{33} \end{bmatrix} det(A)=a11a22a23a32a33a12a21a23a31a33+a13a21a22a31a32\det(A) = a_{11} \begin{vmatrix} a_{22} & a_{23} \\ a_{32} & a_{33} \end{vmatrix} - a_{12} \begin{vmatrix} a_{21} & a_{23} \\ a_{31} & a_{33} \end{vmatrix} + a_{13} \begin{vmatrix} a_{21} & a_{22} \\ a_{31} & a_{32} \end{vmatrix}

需注意交替性(Alternating Property)決定正負號

伴隨矩陣(Adjoint / Adjugate Matrix)

為每個元素求餘子式(Cofactor)後轉置:

adj(A)=[cofactor(A)]\operatorname{adj}(A) = \left[ \text{cofactor}(A) \right]^\top

反矩陣(Inverse Matrix)

僅對於方陣(Square Matrix)時才能使用反矩陣 若 AA 為可逆矩陣(即 det(A)0\det(A) \ne 0)則

A1=1det(A)adj(A)A^{-1} = \frac{1}{\det(A)} \cdot \operatorname{adj}(A)

I 是單位矩陣 (Identity Matrix)

AA1=A1A=IA A^{-1} = A^{-1} A = I

對於 A 是 2×2 矩陣:

A=[abcd]A = \begin{bmatrix} a & b \\ c & d \end{bmatrix}

反矩陣公式:

A1=1det(A)[dbca]A^{-1} = \frac{1}{\det(A)} \begin{bmatrix} d & -b \\ -c & a \end{bmatrix}

轉置矩陣(Transpose Matrix)

將矩陣的行與列對調:

A=transpose of AA^\top = \text{transpose of } A

例:

A=[1234]A=[1324]A = \begin{bmatrix} 1 & 2 \\ 3 & 4 \end{bmatrix} \quad \Rightarrow \quad A^\top = \begin{bmatrix} 1 & 3 \\ 2 & 4 \end{bmatrix}

解線性方程組

克拉默法則(Cramer's Rule)

用於求解線性方程組(System of Linear Equations),當係數矩陣為可逆矩陣(即行列式不為零)時

RENODE 重構節點 人工智慧資訊網站

高斯消去法(Gaussian Elimination)

這種方法透過行運算,將矩陣變成上三角形式,然後用回代法求解。

假設已知方程組:

[2112][x1x2][12]\begin{bmatrix} 2 & 1 \\ 1 & 2 \end{bmatrix} \begin{bmatrix} x_1 \\ x_2 \end{bmatrix} \begin{bmatrix} -1 \\ 2 \end{bmatrix}

x1x_1 的係數變為 1

第一行除以 2

[10.512][0.52]\begin{bmatrix} 1 & 0.5 \\ 1 & 2 \end{bmatrix} \quad | \quad \begin{bmatrix} -0.5 \\ 2 \end{bmatrix}

x1x_1 在第二行變為 0

第二行 - 第一行 × 1

[10.501.5][0.52.5]\begin{bmatrix} 1 & 0.5 \\ 0 & 1.5 \end{bmatrix} \quad | \quad \begin{bmatrix} -0.5 \\ 2.5 \end{bmatrix}

回代求解

  • 先解 x2x_2

    1.5x2=2.5x2=2.51.5=531.5 x_2 = 2.5 \quad \Rightarrow \quad x_2 = \frac{2.5}{1.5} = \frac{5}{3}
  • 代入 x1x_1 的方程:

    x1+0.5×53=0.5x_1 + 0.5 \times \frac{5}{3} = -0.5 x1=0.556=3656=86=43 x_1 = -0.5 - \frac{5}{6} = -\frac{3}{6} - \frac{5}{6} = -\frac{8}{6} = -\frac{4}{3}

結果

x1=43,x2=53x_1 = -\frac{4}{3}, \quad x_2 = \frac{5}{3}

LU 分解

這種方法將矩陣 A 分解為兩個矩陣:

A=LUA = LU
  • LL 是 下三角矩陣 (Lower Triangular Matrix)
  • UU 是 上三角矩陣 (Upper Triangular Matrix)

線性代數

線性方程組(System of Linear Equations | simultaneous equations)

二元一次方程組:

{A1x+B1y=C1A2x+B2y=C2\begin{cases} A_1x + B_1y = C_1 \\ A_2x + B_2y = C_2 \end{cases}

線性方程組的解法

代入法(Substitution Method)

{x+2y=83xy=3\begin{cases} x + 2y = 8 \\ 3x - y = 3 \end{cases}
  1. 從第一條方程式中解出 xx:

    x=82yx = 8 - 2y
  2. 將 x = 8 - 2y 代入第二條方程式:

    3(82y)y=33(8 - 2y) - y = 3

    解得 y=1y = 1。

  3. 把 y = 1 代入x = 8 - 2y 得到 x=6

解: x=6x = 6, y=1y = 1


加減法(Elimination Method)

{2x+3y=124x2y=6\begin{cases} 2x + 3y = 12 \\ 4x - 2y = 6 \end{cases}
  1. 使 y 消失。首先將第一條方程式乘以 2,第二條方程式乘以 3,然後兩式相加:

    4x+6y=2412x6y=184x + 6y = 24\\ 12x - 6y = 18
  2. 相加兩條方程式:

    (4x+6y)+(12x6y)=24+1816x=42x=4216=218(4x + 6y) + (12x - 6y) = 24 + 18\\ 16x = 42 \quad \Rightarrow \quad x = \frac{42}{16} = \frac{21}{8}
  3. x=218x = \frac{21}{8} 代入原方程式2x+3y=122x + 3y = 12,得到:

    2×218+3y=12428+3y=122 \times \frac{21}{8} + 3y = 12 \quad \Rightarrow \quad \frac{42}{8} + 3y = 12

y=148=74y = \frac{14}{8} = \frac{7}{4}

解: x=218,y=74x = \frac{21}{8}, y = \frac{7}{4}


矩陣法(Matrix Method)

矩陣法適用於更高維度的線性方程組,這種方法使用矩陣來表示方程組,並通過矩陣運算來求解。這在計算機科學和數值分析中非常常見。

步驟:

  1. 將方程組寫成矩陣形式:AX=BA \cdot X = B,其中 A 是系數矩陣,X 是變數矩陣,B 是常數矩陣。
  2. 求解 X=A1BX = A^{-1} \cdot B(假設 A 是可逆的)
(a1b1a2b2)(xy)=(c1c2) \begin{pmatrix} a_1 & b_1 \\ a_2 & b_2 \end{pmatrix} \begin{pmatrix} x \\ y \end{pmatrix} = \begin{pmatrix} c_1 \\ c_2 \end{pmatrix} (xy)=(a1b1a2b2)1(c1c2)\begin{pmatrix} x \\ y \end{pmatrix} = \begin{pmatrix} a_1 & b_1 \\ a_2 & b_2 \end{pmatrix}^{-1} \begin{pmatrix} c_1 \\ c_2 \end{pmatrix}

範例:

{x+y=42xy=1\begin{cases} x + y = 4 \\ 2x - y = 1 \end{cases}
  1. 寫成矩陣形式:

    (1121)(xy)=(41)\begin{pmatrix} 1 & 1 \\ 2 & -1 \end{pmatrix} \begin{pmatrix} x \\ y \end{pmatrix}= \begin{pmatrix} 4 \\ 1 \end{pmatrix}
  2. 求解矩陣:

    X=A1BX = A^{-1} \cdot B

    計算 A1A^{-1},然後計算 X。


線性方程式(Linear Equations)

線性方程式是指 變數的最高次方為 1 的方程式,表示的是線性關係,可以有一個變數、兩個變數或多個變數。例如:

一元一次方程式( Linear equation in one variable):

ax+b=cax+b=c

這只涉及一個變數 x,解出來是 x = 2。

二元一次方程式(linear equation in two variable ):

這種方程式代表一條 直線,解是無限多個點的集合。

ax+by=cax+by=c

多元一次方程式( linear equation in multi variable):

關鍵字: **超平面(hyperplane)**方程式、高維度

ax+by+cz=dax + by + cz = d