r036_logo
數學
2025-05-05

特徵值與特徵向量運算方法(Eigenvalues and Eigenvectors)

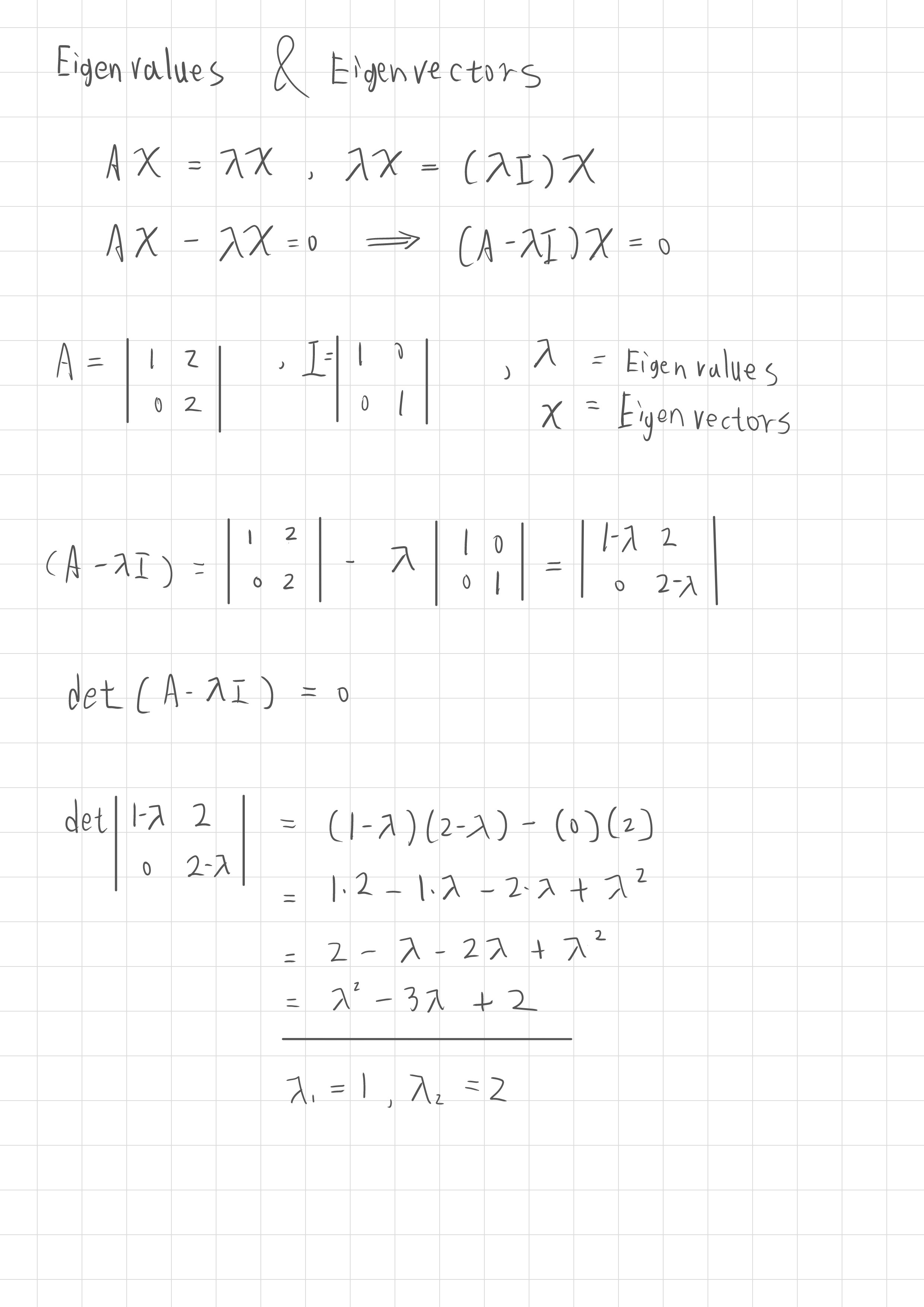
第一步是解特徵方程式找到特徵值,第二步是根據特徵值找到對應的特徵向量。

定義

給定一個 n×nn \times n方矩陣 AA,若存在一個非零向量 XX 以及一個常數 λ\lambda ,滿足以下公式

AX=λXAX = \lambda X
  • λ\lambda 為矩陣 AA特徵值(Eigenvalue)
  • XX 為對應於 λ\lambda特徵向量(Eigenvector)

RENODE 重構節點 人工智慧資訊網站

公式轉換

透過對 λ\lambda 乘上 II 單位矩陣,得到 λX=(λI)X\lambda X = (\lambda I) X,使純量成為特徵矩陣,再透過矩陣乘法的分配律,使XX合併,得到

AX=λX(AλI)X=0AX = \lambda X \Rightarrow (A - \lambda I)X = 0

特徵方程(Characteristic Equation)

只有在 det(AλI)=0\det(A - \lambda I) = 0 時才會有多個非零解。

det(AλI)=0\det(A - \lambda I) = 0

解出特徵值 λ\lambda

這是一個以 λ\lambda 為變數的多項式方程式,其階數最多為矩陣 AA 的階數 nnλ\lambda 的可能解最多有 nn

求特徵向量 XX

代入每個 λ\lambda,解該線性系統,找出非零解 XX

RENODE 重構節點 人工智慧資訊網站

特徵向量用途

以下是的特徵向量用途,聚焦在人工智能領域中,每個部份將在其他文章中探討。

1. 主成分分析(PCA)

利用資料的協方差矩陣的特徵向量進行降維,保留最大變異方向,常用於特徵選擇與視覺化。

2. 奇異值分解(SVD)

將資料矩陣分解為特徵向量與特徵值組合,用於語意分析、推薦系統與資料壓縮。

3. 圖神經網路(GNN)與譜圖理論

透過圖的拉普拉斯矩陣的特徵向量進行節點嵌入與頻譜卷積,實現圖結構學習。

4. 自注意力分析(Self-Attention)

雖非直接依賴特徵向量,但可用特徵值分析理解注意力矩陣的資訊流與結構穩定性。

5. 強化學習(Reinforcement Learning)

轉移機率矩陣的主特徵向量可用來計算穩態策略或長期行為分布。